
Нуклеиновые кислоты

Дезоксирибонуклеиновая кислота (ДНК) – полимер, состоит из нуклеотидов.
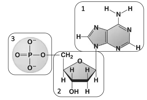
Нуклеотид ДНК состоит из трёх частей:
- азотистое основание (в ДНК 4 типа: аденин, тимин, цитозин, гуанин)
- моносахар дезоксирибоза – это пентоза, т.е. содержит 5 атомов углерода, из которых для нас будут наиболее важны третий и пятый
- фосфорная кислота
Нуклеотиды соединяются между собой прочной ковалентной связью через сахар одного нуклеотида и фосфорную кислоту другого. Получается полинуклеотидная цепь. На одном ее конце – свободная фосфорная кислота (5’-конец), на другом – свободный сахар (3’-конец).
Две полинуклеотидные цепи соединяются друг с другом слабыми водородными связями между азотистыми основаниями. Соблюдаются 2 правила:
- принцип комплементарности: напротив аденина всегда стоит тимин, напротив цитозина – гуанин (они подходят друг другу по форме и числу водородных связей – между А и Т две связи, между Ц и Г – 3).
- принцип антипараллельности: там, где у одной полинуклеотидной цепи 5’-конец, у другой – 3’-конец, и наоборот.
Она скручивается в двойную спираль. Азотистые основания (хранители генетической информации) находятся внутри спирали, защищенные сахаро-фосфатной цепью.
Функции ДНК
ДНК входит в состав хромосом, обеспечивает хранение и передачу наследственной информации (информации о признаках организма, о первичной структуре белков).
1. Репликация (редупликация, удвоение)
Фермент хеликаза разрывает водородные связи между комплементарными цепями ДНК. Фермент праймаза синтезирует короткий фрагмент РНК (праймер, или затравку). Фермент ДНК-полимераза синтезирует новую цепь ДНК с 3’-конца этого праймера. На одной цепи ДНК (лидирующей) синтез идет непрерывно, а на друнгой цепи (отстающей) – короткими отрезками (фрагментами Оказаки). Фрагменты сшиваются ферментом лигазой в единую цепь.
После удвоения две полинуклеотидные цепи, из которых состоит молекула ДНК, отличаются по происхождению: одна из цепей новая (новосинтезированная по принципу комплементарности), а другая старая (взята из исходной молекулы ДНК). Поэтому механизм синтеза ДНК называется полуконсервативным (в переводе на русский – «полу-старым»).
После удвоения две молекулы ДНК остаются соединёнными между собой в области центромеры – получается двухроматидная хромосома (каждая хроматида – одна молекула ДНК).
Во время будущего деления клетки две эти хроматиды превратятся в две дочерние хромосомы. Поскольку хроматиды, полученные в процессе репликации, абсолютно одинаковы, каждая из дочерних клеток получит одинаковую наследственную информацию.
2. Транскрипция – переписывание информации с ДНК на иРНК
В определенном участке ДНК (гене) фермент РНК-полимераза разрывает водородные связи (получается две одинарных цепочки ДНК), а затем на одной из них (матричной) строит РНК по принципу комплементарности. Полученные таким образом РНК принимают участие в синтезе белка.
3. Репарация (восстановление ДНК)
Если одна из цепей ДНК повреждена, то ее можно восстановить, используя вторую цепь и принцип комплементарности.
РНК
ОТЛИЧИЯ РНК ОТ ДНК
- рибоза вместо дезоксирибозы
- нет тимина, вместо него урацил
- одноцепочечная
ЗНАЧЕНИЕ РНК – принимает участие в биосинтезе белка.
ВИДЫ РНК
- информационная (матричная) РНК
- переносит информацию о строении белка из ядра (от ДНК) в цитоплазму (к рибосоме);
- соединяется с рибосомой (вставляется в рибосому);
- содержит кодоны (тройки нуклеотидов, кодирующие аминокислоту)
- транспортная РНК
- переносит аминокислоты к рибосоме,
- содержит антикодон, который присоединяется к кодону иРНК по принципу комплементарности
- самая маленькая РНК, имеет вторичную структуру в форме клеверного листа;
- рибосомная РНК
- входит в состав рибосом,
- за счет сложной третичной структуры выполняет ферментативную функцию (катализирует образование пептидной связи между аминокислотами);
- у эукариот синтезируется в специальном участке ядра – ядрышке
Решение задач на процент нуклеотидов
Количество аденина в ДНК равно количеству тимина, количество гуанина равно количеству цитозина (А=Т, Г=Ц). Например, если гуанина 15%, значит цитозина тоже 15%, итого 30%, значит, всё остальное приходится на аденин и тимин 100-30=70%, следовательно аденина 70/2=35% и тимина тоже 35%.
АТФ
По строению относится к нуклеотидам, состоит из моносахарида рибозы, азотистого основания аденина и трех остатков фосфорной кислоты, причем последние два остатка присоединены с помощью особой, макроэргической связи, в которой содержится много энергии (40 кДж/моль).
АТФ служит универсальным источником энергии в клетках. Это нестойкое (короткоживущее) вещество, которое передает энергию из мест, в которых энергия выделяется, в места, где она тратится.
- Энергия, которая выделяется при окислении веществ, запасается в АТФ.
- Любые энергозатратные процессы (синтез веществ, движение и т.п.) получают энергию из АТФ.
ТОНКОСТИ: 1) При энергетическом обмене все вещества распадаются, а АТФ синтезируется, и наоборот, при пластическом обмене все вещества синтезируются, а АТФ распадается.
2) Фермент, который синтезирует АТФ в митохондриях и хлоропластах, называется АТФ-синтаза. Но во многих источниках его по старинке называют протонной АТФ-азой или АТФ-синтетазой, не пугайтесь.
Дополнительные материалы
ВИДЕО-УРОК ПО ДАННОЙ ТЕМЕ: ссылка для донов, ссылка для мастер-группы
ДОПОЛНИТЕЛЬНАЯ ИНФОРМАЦИЯ: Репликация, Полимеразная цепная реакция
ЗАДАНИЯ ЧАСТИ 2 ЕГЭ ПО ЭТОЙ ТЕМЕ
Задания части 1
НУКЛ.КИСЛОТЫ
1. Выберите три верных ответа и запишите в таблицу цифры, под которыми они указаны. Функциями нуклеиновых кислот в клетке являются:
1) осуществляют гомеостаз
2) переносят наследственную информацию от ядра к рибосоме
3) участвуют в биосинтезе белка
4) входят в состав клеточной мембраны
5) транспортируют аминокислоты
6) выполняют сигнальную функцию
Ответ
235
2. Выберите три верных ответа из шести и запишите в таблицу цифры, под которыми они указаны. Для нуклеиновых кислот характерно:
1) Состоят из аминокислот и моносахаров
2) Могут быть как кольцевыми, так и линейными
3) Содержат информацию о структуре аминокислот
4) В комплексе с белками могут образовать немембранный органоид
5) Имеют в своём составе молекулы сахаров
6) Являются регулярными полимерами
Ответ
245
НУКЛЕИНОВЫЕ КИСЛОТЫ - БЕЛКИ
Установите соответствие между характеристиками и органическими веществами: 1) белки; 2) нуклеиновые кислоты. Запишите цифры 1 и 2 в порядке, соответствующем буквам.
А) представлены глобулой
Б) имеют пептидные связи
В) синтезируются в ядре
Г) служат биокатализаторами
Д) включают полинуклеотидную цепь
Е) способны к репликации
Ответ
112122

Установите соответствие между химическими соединениями, изображенными на рисунке, и их характеристиками. Запишите цифры 1 и 2 в порядке, соответствующем буквам.
А) аминокислота
Б) азотистое основание
В) глицин
Г) аденин
Д) входит в состав белков
Е) входит в состав нуклеиновых кислот
Ответ
121212
БЕЛКИ В ОЛИЧИЕ ОТ НК
Выберите три варианта. Белки, в отличие от нуклеиновых кислот,
1) участвуют в образовании плазматической мембраны
2) входят в состав хромосом
3) осуществляют регуляторную функцию
4) являются полимерами
5) выполняют защитную функцию
6) переносят наследственную информацию из ядра к рибосоме
Ответ
135
ДНК
Выберите три верных ответа и запишите в таблицу цифры, под которыми они
указаны.
Какие из приведённых структур входят в состав молекулы ДНК?
1) аминокислота
2) нуклеотид
3) урацил
4) тимин
5) глюкоза
6) дезоксирибоза
Ответ
246
ДНК ТЕКСТ
Найдите три ошибки в приведённом тексте. Укажите номера предложений, в которых они допущены. (1) Молекула ДНК состоит из мономеров — нуклеотидов. (2) Каждый нуклеотид ДНК состоит из азотистого основания, углевода рибозы и остатка фосфорной кислоты. (3) Нуклеотиды двух цепей ДНК связаны нековалентными водородными связями по правилу комплементарности. (4) Четыре нуклеотида в цепи молекулы ДНК кодируют одну аминокислоту в молекуле белка, информация о строении которого заложена в гене. (5) Синтез иРНК производится на одной из двух цепей ДНК. (6) Процесс синтеза иРНК на матрице ДНК называется трансляцией.
Ответ
246

ДНК РИС.
1. Выберите три верных ответа и запишите в таблицу цифры, под которыми они указаны. Для описания изображенной на рисунке молекулы органического вещества можно использовать следующие признаки:
1) в комплексе с белками образует хромосомы
2) выполняет ферментативную функцию
3) состоит из двух нуклеотидных цепей
4) участвует в процессе трансляции
5) хранит и передает наследственную информацию
6) является мембранным рецептором
Ответ
135

2. Выберите три верных ответа и запишите в таблицу цифры, под которыми они указаны. Для описания изображенной на рисунке молекулы органического вещества клетки можно использовать следующие термины:
1) трансляция
2) урацил
3) нуклеотиды
4) репликация
5) водородные связи
6) макроэргическая связь
Ответ
345

3. Выберите три верных ответа из шести и запишите цифры, под которыми они указаны. Какие из приведённых понятий относят к изображённой на рисунке
структуре?
1) водородные связи
2) пептидные связи
3) нуклеотиды
4) аминокислоты
5) комплементарность
6) дисульфидные мостики
Ответ
135
РЕПЛИКАЦИЯ ПОСЛЕДОВАТЕЛЬНОСТЬ
1. Установите, в какой последовательности происходит процесс репликации ДНК. Запишите соответствующую последовательность цифр.
1) образование двух молекул ДНК из одной
2) присоединение к каждой цепи ДНК комплементарных нуклеотидов
3) воздействие фермента ДНК-полимеразы на нуклеотиды
4) раскручивание молекулы ДНК
5) присоединение фермента хеликазы к молекуле ДНК
Ответ
54231
2. Установите последовательность этапов репликации ДНК в бактериальной клетке. Запишите соответствующую последовательность цифр.
1) разрушение водородных связей между комплементарными цепями ДНК
2) присоедниение фермента хеликазы к молекуле ДНК
3) синтез затравки ферментом РНК-праймазой
4) терминация процесса репликации
5) присоединение нуклеотидов ДНК-полимеразой
Ответ
21354
3. Установите последовательность процессов, происходящих при репликации ДНК у прокариот. Запишите соответствующую последовательность цифр.
1) присоединение хеликазы к ДНК
2) отсоединение репликативного комплекса от ДНК
3) присоединение праймазы и синтез затравки
4) расплетение цепей ДНК
5) соединение нуклеотидов ДНК-полимеразой
Ответ
14352
Выберите три верных ответа из шести и запишите цифры, под которыми они указаны. Для описания репликации ДНК подходят следующие характеристики:
1) образуется молекула, содержащая рибозу
2) молекула ДНК служит матрицей
3) у эукариот синтез происходит в ядре
4) мономерами для синтеза служат аминокислоты
5) образуется молекула, содержащая тимин
6) реализуется принцип консервативности
Ответ
235
Экспериментатор поместил бактерии, которые долго выращивались на среде с тяжелым изотопом азота, в среду с легким изотопом азота, и дал бактериям поделиться один раз. Как изменились:
А) молекулярная масса ДНК в бактериях,
Б) количество фракций ДНК при ультрацентрифугировании,
В) количество водородных связей в молекулах ДНК?
Для каждой величины определите соответствующий характер её изменения: (1) увеличилась, (2) уменьшилась, (3) не изменилась. Цифры в ответе могут повторяться.
Ответ
233
ДНК - РНК
1. Установите соответствие между характеристикой и нуклеиновой кислотой: 1) ДНК, 2) РНК. Запишите цифры 1 и 2 в порядке, соответствующем буквам.
А) служит матрицей при трансляции
Б) служит матрицей при обратной транскрипции
В) передает наследственную информацию следующему поколению
Г) передает наследственную информацию из ядра в цитоплазму
Д) в прокариотических клетках представлена в виде кольцевой молекулы
Е) в прокариотических клетках не образует комплекса с белками, а в эукариотических - образует
Ответ
221211
2. Установите соответствие между характеристикой и нуклеиновой кислотой: 1) ДНК, 2) РНК. Запишите цифры 1 и 2 в порядке, соответствующем буквам.
А) состоит из одной полинуклеотидной цепи
Б) образуется в результате обратной транскрипции
В) участвует в трансляции
Г) способна к репликации
Д) содержит углевод рибозу
Е) содержит азотистое основание урацил
Ответ
212122
3. Установите соответствие между признаками и видами нуклеиновых кислот: 1) ДНК, 2) РНК. Запишите цифры 1 и 2 в порядке, соответствующем буквам.
А) цепи молекулы антипараллельны
Б) входит в состав рибосом
В) содержит нуклеотид с урацилом
Г) может транспортировать аминокислоты
Д) хранит наследственную информацию в клетке
Е) способна к репликации
Ответ
122211
ДНК - тРНК
Установите соответствие между характеристикой молекулы нуклеиновой кислоты и ее видом: 1) тРНК, 2) ДНК. Запишите цифры 1 и 2 в правильном порядке.
А) состоит из одной полинуклеотидной цепи
Б) транспортирует аминокислоту к рибосоме
В) состоит из 70-80 остатков нуклеотидов
Г) хранит наследственную информацию
Д) способна к репликации
Е) представляет собой спираль
Ответ
111222
ДНК - иРНК ОТЛИЧИЯ
Выберите три варианта. Чем молекула ДНК отличается от молекулы иРНК?
1) способна самоудваиваться
2) не может самоудваиваться
3) участвует в реакциях матричного типа
4) не может служить матрицей для синтеза других молекул
5) состоит из двух полинуклеотидных нитей, закрученных в спираль
6) является составной частью хромосом
Ответ
156
ДНК - иРНК - тРНК
Установите соответствие между характеристиками и видами нуклеиновых кислот: 1) тРНК, 2) иРНК, 3) ДНК. Запишите цифры 1-3 в порядке, соответствующем буквам.
А) репликация
Б) антикодон
В) тимин
Г) образование полисомы
Д) дезоксирибоза
Ответ
31323
ДНК-РНК ТЕКСТ
Найдите три ошибки в приведенном тексте «Нуклеиновые кислоты». Укажите номера предложений, в которых они сделаны. (1) Нуклеиновые кислоты относятся к биополимерам. (2) Нуклеиновые кислоты были обнаружены в ядрах клеток, поэтому и получили такое название. (3) Молекулы ДНК в клетках эукариот находятся только в ядре, а РНК локализованы как в ядре, так и в других частях клетки. (4) Молекулы ДНК – самые крупные полимеры из существующих в живых организмах. (5) Нуклеотиды ДНК состоят из азотистого основания, углевода рибозы и остатка фосфорной кислоты. (6) Нуклеотиды, входящие в состав одной цепи ДНК, комплементарны нуклеотидам в составе другой цепи. (7) ДНК является матрицей в процессах репликации и трансляции.
Ответ
357
РНК
1. Выберите три верных ответа и запишите в таблицу цифры, под которыми они указаны. Какие из перечисленных ниже характеристик можно использовать для описания молекул РНК в эукариотической клетке?
1) содержит промоторы генов
2) переносит аминокислоты к месту синтеза белка
3) в комплексе с белками образует субъединицы рибосомы
4) состоит из мономеров, соединённых пептидными связями
5) переносит информацию к месту синтеза белка
6) содержит дезоксирибозу
Ответ
235
2. Выберите три верных ответа и запишите в таблицу цифры, под которыми они указаны. Для описания молекулы РНК можно использовать следующие признаки
1) состоит из двух комплементарных цепей
2) состоит из одной полинуклеотидной цепи
3) переносит наследственную информацию из ядра к рибосоме
4) имеет самые большие размеры из нуклеиновых кислот
5) содержит нуклеотиды АУГЦ
6) синтезируется в процессе репликации
Ответ
235
3. Выберите три верных ответа и запишите в таблицу цифры, под которыми они указаны. Для описания молекулы РНК можно использовать следующие признаки
1) в комплексе с белками строит тело рибосомы
2) выполняет регуляторную функцию
3) не способна образовывать вторичную структуру
4) переносит информацию к месту синтеза белка
5) содержит азотистое основание тимин
6) способна образовывать химическую связь с аминокислотами
Ответ
146
4. Выберите три верных ответа и запишите в таблицу цифры, под которыми они указаны. Для описания молекулы РНК можно использовать следующие признаки
1) имеет форму альфа-спирали
2) образует макроэргические связи
3) образуется в ядре
4) состоит из нуклеотидов
5) содержит аденин, тимин, гуанин и урацил
6) содержит моносахарид рибозу
Ответ
346
иРНК
1. Выберите три верных ответа и запишите в таблицу цифры, под которыми они указаны. Признаками информационной РНК являются
1) входит в состав рибосом
2) одноцепочная молекула
3) отсутствуют комплементарные участки
4) синтезируется на матрице ДНК
5) содержит антикодоны
6) транспортирует аминокислоты
Ответ
234
2. Выберите три верных ответа и запишите в таблицу цифры, под которыми они указаны. Признаками информационной РНК являются
1) включает нуклеотиды с рибозой
2) содержит азотистое основание тимин
3) служит матрицей для синтеза белка
4) способна к репликации
5) входит в комплекс с рибосомой при трансляции
6) имеет четвертичную структуру
Ответ
135
иРНК В ОТЛИЧИЕ ОТ тРНК
Выберите три верных ответа из шести и запишите цифры, под которыми они указаны. иРНК в отличие от тРНК:
1) образуется в процессе транскрипции
2) содержит рамку считывания
3) является матрицей в процессе трансляции
4) взаимодействует с рибосомой
5) содержит последовательность кодонов
6) комплементарна матричной цепи ДНК
Ответ
235
иРНК - тРНК
Установите соответствие между признаком нуклеиновой кислоты и ее видом: 1) и-РНК, 2) т-РНК. Запишите цифры 1 и 2 в порядке, соответствующем буквам.
А) имеет форму клеверного листа
Б) доставляет аминокислоты к рибосоме
В) имеет самые маленькие размеры из нуклеиновых кислот
Г) служит матрицей для синтеза белков
Д) передает наследственную информацию из ядра к рибосоме
Ответ
22211
иРНК - рРНК - тРНК
1. Установите соответствие между характеристиками и органическими веществами клетки: 1) иРНК, 2) тРНК, 3) рРНК. Запишите цифры 1-3 в порядке, соответствующем буквам.
А) доставляет аминокислоты для трансляции
Б) содержит информацию о первичной структуре полипептида
В) входит в состав рибосом
Г) служит матрицей для трансляции
Д) активизирует аминокислоту
Ответ
21312
2. Установите соответствие между характеристиками нуклеиновых кислот и их видами: 1) иРНК, 2) тРНК, 3) рРНК. Запишите цифры 1-3 в порядке, соответствующем буквам.
А) синтезируется в ядрышке
Б) кодирует последовательность аминокислот
В) формирует каркас рибосомы
Г) переносит аминокислоты к месту синтеза
Д) присоединяет к себе аминокислоту
Ответ
31322
3. Установите соответствие между функциями и видами РНК: 1) иРНК, 2) тРНК, 3) рРНК. Запишите цифры 1-3 в порядке, соответствующем буквам.
А) присоединяет к себе аминокислоту
Б) является копией кодирующей части гена
В) служит матрицей для синтеза полипептида
Г) входит в состав субъединиц рибосомы
Д) связывается с кодоном
Е) катализирует образование пептидной связи
Ответ
211323
тРНК
Установите последовательность расположения структур по мере их уменьшения. Запишите соответствующую последовательность цифр.
1) антикодон
2) аденин
3) три петли тРНК
4) молекула тРНК
5) центральная петля
Ответ
43512

тРНК РИСУНОК
Выберите три верных ответа из шести и запишите цифры, под которыми они указаны. Изображенная молекула органического вещества:
1) имеет третичную структуру
2) участвует в транскрипции
3) присоединяется к триплетам иРНК
4) выполняет ферментативную функцию
5) синтезируется в ядре клетки
6) образуется при трансляции
Ответ
135
СРАВНЕНИЕ С АТФ
1. Установите соответствие между характеристиками и веществами: 1) АТФ, 2) ДНК. Запишите цифры 1 и 2 в порядке, соответствующем буквам.
А) содержит макроэргические связи
Б) имеет в составе рибозу
В) является полимером
Г) хранит и передаёт наследственную информацию
Д) аккумулирует энергию в клетке
Е) состоит из двух цепей
Ответ
112212
2. Установите соответствие между характеристиками и видами молекул: 1) РНК, 2) АТФ. Запишите цифры 1 и 2 в порядке, соответствующем буквам.
А) содержит один вид азотистых оснований
Б) обеспечивает энергией реакции синтеза
В) входит в состав рибосом
Г) содержит макроэргические связи
Д) содержит четыре вида азотистых оснований
Е) служит матрицей при трансляции
Ответ
221211
НУКЛЕОТИД ИЗ ДРУГОЙ ПАРЫ ПРОЦЕНТЫ
1. В ДНК на долю нуклеотидов с тимином приходится 23%. Определите процентное содержание нуклеотидов с гуанином, входящих в состав молекулы. В ответе запишите соответствующее число.
Ответ
27
2. В ДНК на долю нуклеотидов с цитозином приходится 13%. Определите процентное содержание нуклеотидов с аденином, входящих в состав молекулы. В ответе запишите только соответствующее число.
Ответ
37
3. В ДНК на долю нуклеотидов с аденином приходится 18%. Определите процентное содержание нуклеотидов с цитозином, входящих в состав молекулы. В ответе запишите только соответствующее число.
Ответ
32
4. В ДНК на долю нуклеотидов с тимином приходится 36%. Определите процентное содержание нуклеотидов с гуанином, входящих в состав молекулы. В ответе запишите только соответствующее число.
Ответ
14
5. В ДНК на долю нуклеотидов с тимином приходится 28%. Определите процентное содержание нуклеотидов с гуанином, входящих в состав молекулы. В ответе запишите только соответствующее число.
Ответ
22
НУКЛЕОТИД ИЗ ДРУГОЙ ПАРЫ ШТУКИ
1. Участок двойной цепочки ДНК бактериофага лямбда содержит 23 нуклеотида с тимином, сколько нуклеотидов с цитозином в этом участке, если его протяженность 100 нуклеотидных пар? В ответ запишите только количество нуклеотидов.
Ответ
77
2. Фрагмент двуцепочечной молекулы ДНК содержит 60 нуклеотидов. Из них 12 нуклеотидов приходится на тимин. Сколько гуаниновых нуклеотидов содержится в этом фрагменте? В ответе запишите только число.
Ответ
18
3. Двуцепочечный фрагмент молекулы ДНК содержит 340 нуклеотидов, из которых 87 в качестве азотистого основания имеют тимин. Определите количество нуклеотидов с гуанином, входящих в состав молекулы. В ответе запишите только соответствующее число.
Ответ
83
4. Фрагмент двухцепочечной молекулы ДНК содержит 210 нуклеотидов, 26 из которых в качестве азотистого основания имеют тимин. Определите количество нуклеотидов с цитозином, входящих в состав молекулы. В ответе запишите только соответствующее число.
Ответ
79
5. Фрагмент двуцепочечной молекулы ДНК содержит 300 нуклеотидов, 52 из которых в качестве азотистого основания имеют цитозин. Определите количество нуклеотидов с тимином, входящих в состав молекулы. В ответ запишите только соответствующее число.
Ответ
98
НУКЛЕОТИД ИЗ ЭТОЙ ЖЕ ПАРЫ (СЛИШКОМ ПРОСТО)
1. В некоторой молекуле ДНК на долю нуклеотидов с гуанином приходится 28%. Определите процентное содержание нуклеотидов с цитозином, входящих в состав этой молекулы. В ответе запишите только соответствующее число.
Ответ
28
2. В некоторой молекуле ДНК на долю нуклеотидов с аденином приходится 37%. Определите процентное содержание нуклеотидов с тимином, входящих в состав этой молекулы. В ответе запишите только соответствующее число.
Ответ
37
НУКЛЕОТИД - СУММА ОДНОЙ ПАРЫ
1. Какое процентное содержание нуклеотидов с аденином и тимином в сумме содержит молекула ДНК, если доля ее нуклеотидов с цитозином составляет 26% от общего числа? В ответе запишите только соответствующее число.
Ответ
48
2. В ДНК на долю нуклеотидов с цитозином приходится 15%. Определите процентное содержание нуклеотидов с тимином и аденином в сумме, входящих в состав молекулы. В ответе запишите только соответствующее число.
Ответ
70
3. Какую долю нуклеотидов с гуанином и цитозином в сумме содержит молекула ДНК, если доля нуклеотидов с тимином составляет 14%? В ответе запишите только соответствующее число.
Ответ
72
СУММА ОДНОЙ ПАРЫ - НУКЛЕОТИД
1. Какой процент составляют нуклеотиды с аденином в молекуле ДНК, если нуклеотиды с гуанином и цитозином вместе составляют 18%? В ответе запишите только соответствующее число.
Ответ
41
2. В ДНК на долю нуклеотидов с гуанином и цитозином приходится 36%. Определите процентное содержание нуклеотидов с аденином, входящих в состав молекулы. В ответе запишите только соответствующее число.
Ответ
32
3. В некоторой молекуле ДНК на долю нуклеотидов с аденином и тимином в сумме приходится 26%. Определите процентное содержание нуклеотидов с гуанином, входящих в состав этой молекулы. В ответе запишите только соответствующее число.
Ответ
37
4. В некоторой молекуле ДНК на долю нуклеотидов с цитозином и гуанином в сумме приходится 42%. Определите процентное содержание нуклеотидов с аденином, входящих в состав этой молекулы. В ответе запишите только соответствующее число.
Ответ
29
5. В некоторой молекуле ДНК на долю нуклеотидов с аденином и тимином в сумме приходится 54%. Определите процентное содержание нуклеотидов с цитозином, входящих в состав этой молекулы. В ответе запишите только соответствующее число.
Ответ
23
СУММА РАЗНЫХ ПАР
1. Фрагмент молекулы ДНК содержит 10% тимина. Сколько аденина и гуанина в сумме в этом фрагменте ДНК? В ответ запишите только количество аденина и гуанина в сумме.
Ответ
50
2. В ДНК на долю нуклеотидов с тимином приходится 35%. Определите процентное содержание нуклеотидов с цитозином и аденином в сумме, входящих в состав молекулы. В ответе запишите только соответствующее число.
Ответ
50
РНК - ДНК ДВОЙНАЯ
1. В РНК на долю нуклеотидов с урацилом и аденином приходится по 10%. Определите процентное содержание нуклеотидов с тимином входящих в состав комплементарной, двуспиральной цепи ДНК. В ответе запишите только соответствующее число.
Ответ
10
РНК - ДНК ОДИНАРНАЯ
1. В некоторой молекуле РНК на долю нуклеотидов с урацилом приходится 13%. Определите долю нуклеотидов с аденином на матричной цепи молекулы ДНК. В ответе запишите только соответствующее число.
Ответ
13
2. В некоторой молекуле РНК на долю нуклеотидов с урацилом приходится 18%. Определите долю нуклеотидов с аденином в матричной цепи молекулы ДНК. В ответе запишите только соответствующее число.
Ответ
18
3. В молекуле и-РНК содержится 200 нуклеотидов с урацилом, что составляет 10% от общего числа нуклеотидов. Сколько нуклеотидов (в %) с аденином содержит одна из цепей молекулы ДНК? В ответе запишите соответствующее число.
Ответ
10
ДНК - РНК
1. Участок матричной цепи некоторой молекулы ДНК содержит 13% нуклеотидов с аденином. Сколько нуклеотидов с урацилом будет в составе иРНК, синтезированной на матрице этого участка ДНК? В ответе запишите только соответствующее число.
Ответ
13
2. На матричной цепи некоторой молекулы ДНК на долю нуклеотидов с аденином приходится 21%. Определите долю нуклеотидов с урацилом на цепи молекулы иРНК, которая была синтезирована с данной ДНК. В ответе запишите только соответствующее число.
Ответ
21
ВСЁ СРАЗУ (УСЛОЖНЯЕМ)
1. Фрагмент молекулы ДНК содержит 15% аденина. Сколько тимина и сколько цитозина в этом фрагменте ДНК? Запишите два числа (количество процентов) в порядке, указанном в задании, без разделителей (пробелов, запятых и т.п.).
Ответ
1535
МАТЕМАТИКААА
Сколько нуклеотидов с цитозином содержит молекула ДНК, если количество нуклеотидов с тимином 120, что составляет 15% от общего числа? В ответе запишите соответствующее число.
Ответ
280
Участок одной из двух цепей молекулы ДНК содержит 300 нуклеотидов с аденином (А), 100 нуклеотидов с тимином (Т), 150 нуклеотидов с гуанином (Г) и 200 нуклеотидов с цитозином (Ц). Сколько нуклеотидов содержится в двух цепях ДНК? Ответ запишите в виде числа.
Ответ
1500
1. Сколько нуклеотидов включает фрагмент двуцепочечной молекулы ДНК, содержащий 14 нуклеотидов с аденином и 20 нуклеотидов с гуанином? В ответе запишите только соответствующее число.
Ответ
68
2. Сколько нуклеотидов включает в себя фрагмент двуцепочечной молекулы ДНК, если в нём содержится 16 нуклеотидов с тимином и 16 нуклеотидов с цитозином? В ответе запишите только соответствующее число.
Ответ
64
Общая масса всех молекул ДНК в одной соматической клетке человека составляет около 6х10-12 г. В состав организма человека входит примерно 40 триллионов клеток. Оцените примерную массу человеческой ДНК в организме человека. В ответ запишите только количество граммов.
Ответ
240
В организме здорового человека живет примерно 60 триллионов бактерий (в основном – в толстом кишечнике). Длина ДНК одной бактерии составляет около 1,2 мм. Какова общая длина всей бактериальной ДНК в организме человека? В ответ запишите только длину в километрах.
Ответ
72000000

1. Проанализируйте таблицу. Наполните пустые ячейки таблицы, используя понятия и термины, приведенные и списке. Для каждой ячейки, обозначенной буквами, выберите соответствующий термин из предложенного списка.
1) урацил
2) построение тела рибосомы
3) перенос информации о первичной структуре белка
4) рРНК
5) ДНК
6) тимин
Ответ
513

2. Проанализируйте таблицу. Для каждой ячейки, обозначенной буквами, выберите соответствующий термин из предложенного списка.
1) рРНК
2) образование в комплексе с белками тела рибосомы
3) хранение и передача наследственной информации
4) урацил
5) тРНК
6) аминокислота
7) ДНК
8) синтез иРНК
Ответ
542

3. Проанализируйте таблицу «Виды РНК». Для каждой ячейки, обозначенной буквой, выберите соответствующий термин из приведенного списка.
1) мРНК
2) тРНК
3) комплементарна участку молекулы ДНК, несущему информацию о первичной структуре одного белка
4) содержит тимин и дезоксирибозу
5) способна к репликации
6) входит в состав рибосом, участвует в синтезе белка
7) состоит из двух нитей, спирально обвивающих друг друга
Ответ
263

4. Проанализируйте таблицу «Строение и функции нуклеиновых кислот». Для каждой ячейки, обозначенной буквой, выберите соответствующий термин или характеристику из предложенного списка.
1) двойная спираль
2) мономер
3) состоит из аминокислот
4) белок
5) иРНК
6) АТФ
7) транспорт аминокислот
Ответ
517

5. Проанализируйте таблицу «Строение и функции нуклеиновых кислот». Для каждой ячейки, обозначенной буквой, выберите соответствующий термин или характеристику из предложенного списка.
1) имеет форму клеверного листа
2) содержит кодоны
3) синтезируется в ядрышке
4) доставляет аминокислоту к месту синтеза белка
5) переносит наследственную информацию
6) полинуклеотид
7) информационная
8) вирусная
Ответ
734

(А) Как называется молекула, изображенная на рисунке? (Б) Какой моносахарид обозначен цифрой 2? (В) В каких матричных процессах участвует биополимер, мономером которого является изображенное соединение? Запишите три цифры в порядке, соответствующем буквам.
1) транскрипция и трансляция
2) ДНК
3) дезоксирибоза
4) нуклеотид
5) репликация и транскрипция
6) АТФ
7) репликация и трансляция
8) рибоза
Ответ
435

Рассмотрите рисунок с изображением фрагмента молекулы биополимера. Определите, (А) что служит ее мономером, (Б) в результате какого процесса увеличивается число этих молекул в клетке, (В) какой принцип лежит в основе ее копирования. Для каждой буквы выберите соответствующий термин из предложенного списка.
1) комплементарность
2) репликация
3) нуклеотид
4) денатурация
5) углевод
6) трансляция
7) транскрипция
Ответ
321

Рассмотрите рисунок с изображением одного из процессов матричного синтеза и определите (А) процесс, (Б) основной тип ферментов, его катализирующих, и (В) тип мономеров, используемых для синтеза. Для каждой буквы выберите соответствующий элемент из предложенного списка.
1) репликация
2) ДНК-полимераза
3) рибонуклеотиды
4) транскрипция
5) РНК-полимераза
6) дезоксирибонуклеотиды
7) трансляция
8) нуклеиновые кислоты
Ответ
126

Установите соответствие между характеристиками и элементами системы репликации ДНК, обозначенными на рисунке цифрами 1, 2, 3. Запишите цифры 1-3 в порядке, соответствующем буквам.
А) не обладает каталитической активностью
Б) синтезируется РНК-полимеразой
В) расплетает цепи ДНК
Г) синтезирует цепь ДНК
Д) соединяет дезоксирибозу и фосфаты
Е) короткая РНК-затравка
Ответ
332113

Установите соответствие между характеристиками и структурами, обозначенными цифрами 1, 2, 3. Запишиет указанные цифры в порядке, соответствующем буквам.
А) образуется на отстающей цепи ДНК
Б) синтезирует полинуклеотидную цепь
В) разрушает внутримолекулярные водородные связи
Г) состоит из нуклеотидов
Д) содержит на 5'-конце праймер
Е) участвует в формировании репликативной вилки
Ответ
213223

Рассмотрите рисунок с изображением молекулы органического вещества и определите (А) класс органического вещества, (Б) мономеры этого вещества и (В) функцию, выполняемую этим веществом. Для каждой ячейки, обозначенной буквой, выберите соответствующий термин из предложенного списка.
1) транспортная
2) энергетическая
3) белки
4) нуклеотиды
5) нуклеиновые кислоты
6) моносахариды
7) аминокислоты
8) хранение наследственной информации
Ответ
541
Выберите три верных ответа из шести и запишите цифры, под которыми они указаны. Какие ученые внесли величайший вклад в развитие биологии, установив структуру ДНК?
1) Френсис Крик
2) Александр Флеминг
3) Томас Морган
4) Гуго де Фриз
5) Джеймс Уотсон
6) Розалинда Франклин
Ответ
156
Выберите три верных ответа из шести и запишите цифры, под которыми они указаны. Какие методы исследования позволили установить структуру молекулы ДНК?
1) биохимический
2) микроскопия
3) моделирование
4) наблюдение
5) рентгенологический
6) цитогенетический
Ответ
135
Установите соответствие между утверждениями и их правильностью: 1) правильно, 2) неправильно. Запишите цифры 1 и 2 в порядке, соответствующем буквам.
А) Репликация ДНК происходит по полуконсервативному механизму.
Б) Между азотистыми основаниями одной цепи ДНК образуются водородные связи.
В) Количество аденина в РНК всегда равно количеству урацила.
Ответ
122
АТФ
1. Выберите три верных ответа и запишите в таблицу цифры, под которыми они указаны. Признаками АТФ являются следующие
1) в состав входит азотистое основание урацил
2) по структуре представляет собой нуклеотид
3) содержит моносахарид дезоксирибозу
4) средняя продолжительность жизни молекулы менее одной минуты
5) фосфатные группы соединены макроэргическими связями
6) является нуклеиновой кислотой
Ответ
245
2. Выберите три верных ответа и запишите в таблицу цифры, под которыми они указаны. Для описания изображенной на рисунке молекулы органического вещества клетки можно использовать следующие термины
1) антипараллельность
2) макроэргические связи
3) мононуклеотид
4) рибоза
5) тимин
6) цитозин
Ответ
234
© Д.В.Поздняков, 2009-2020